一、团队简介
纳米自旋电子学团队是世俱杯sjb官网立项建设的校级科研团队。团队成立于2011年,以自旋电子学、拓扑绝缘体,以及光电材料与器件的设计及其电学性质量子调控为主要研究领域。团队由山东省泰山学者张昌文教授领衔,目前共有成员12人,其中教授3人,副教授6人,讲师2人,师资博士后1人。团队成员至今已在国际著名期刊(包括:PRL、PRB、NJP、ACS-AMI、Nanoscale、APL等)发表论文200余篇。团队成员共承担国家自然科学基金10余项,获得山东省自然科学二等奖1项。目前已毕业硕士研究生20余人,博士生1人,在读研究生18人。
2024年,团队成员共发表SCI论文10余篇,新立项纵向科研项目2项,其中包括国家自然科学基金青年项目1项,山东省自然科学基金青年项目1项。2024年。张昌文教授入选爱思唯尔2023“中国高被引学者”榜单。张昌文教授指导研究生发表的论文“Strain-tunable skyrmions in two dimensional monolayer Janus magnets”,被编入Nanoscale 2023年最受欢迎论文专辑,以及 Nanoscale Horizons, Nanoscale 和 Nanoscale Advances 共同组织的2024 Lunar New Year Collection.

二、标志性科技成果简介
张昌文教授团队论文入选 [Nanoscale Most Popular 2023 Articles, 2024 Lunar New Year Collection] 专辑
基于出色的阅读量和下载量表现,张昌文教授带领团队在Nanoscale上发表的论文“Strain-tunable skyrmions in two dimensional monolayer Janus magnets”,被编入Nanoscale2023年最受欢迎论文专辑,以及2024 Lunar New Year Collection 专辑。 Nanoscale是由英国皇家化学会同中国国家纳米科学中心共同出版,发表有关纳米科学和纳米技术的高质量研究报道,是领域内的一本主力期刊。论文的第一作者为2020级硕士研究生韩曰通同学,硕士毕业以后,在郑州大学物理学院继续攻读博士学位。

自旋电子学团队在《Applied Physics Letters》发表亚铁谷高阶拓扑绝缘体的新成果
二维二阶拓扑绝缘体表现出(d-2)维高阶非平凡体边界对应,导致二维情况下位于带隙中的零维拓扑角态,这可以用更可行的方法来完成能量存储和收获。与谷极化共存的铁磁和反铁磁二阶拓扑绝缘体近年来受到越来越多的关注,而二维亚铁磁谷极化二阶拓扑绝缘体尚未见报道。因此,将二维谷极化高阶拓扑材料扩展到亚铁磁体系中可以加深对各种磁性结构中高阶拓扑物理的理解,具有重要的理论和实践意义。
本工作构建了具有对称性约束的二维六带紧束缚模型,证明了亚铁磁性、二阶拓扑和谷极化共存的可能性,并预测单层Mo2CSCl是二维亚铁谷二阶拓扑绝缘体。基于第一性原理计算,Mo2CSCl具有本征亚铁磁极化。通过声子谱、分子动力学模拟、弹性常数,证明了体系的稳定性。磁轴沿着面外时,价带K和K¢处的自发谷极化值高达109meV。通过蒙特卡罗模估计居里温度为100 K,可以用于实验。通过搭建三角形纳米片,发现二阶拓扑角态对磁场方向具有鲁棒性。Mo2CSCl的MAE与外加电场呈线性关系。特别是,我们可以通过利用外磁场反转磁化方向来同步控制角态和谷极化的方向。我们的研究结果探索了二维亚铁磁高阶拓扑材料和谷极化材料的候选材料。

本工作发表在国际物理领域知名期刊App.Phys. Lett.上(中科院二区,Nature Index期刊),研究生刘欣雨为论文第一作者,纪维霄副教授为通讯作者。本文获得泰山学者工程(No.ts20190939)、山东省自然科学基金(No. ZR2023MA091和ZR2020QA052)、国家自然科学基金(No. 52173283)和济南市科技局“新高校20条”创新团队计划(No. 2021GXRC043)的资助。
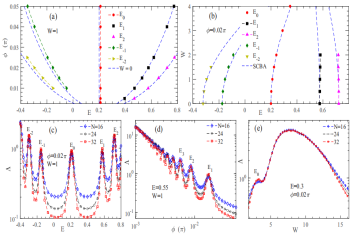
自旋电子学团队在《Physical Review B》发表狄拉克费米子无序性质的新成果
由于费米子重叠定理的限制,无能隙的费米子总是成对出现的。近期,实验证实半磁性拓扑绝缘体(单表面磁性掺杂的拓扑绝缘体),在上下表面分别存在有能隙和无能隙的狄拉克锥型拓扑表面态。这为研究单个狄拉克费米子的性质提供了理想平台。
最近,物理学院自旋电子学团队张树峰副教授与苏州大学陈垂针教授合作研究了安德森无序对单个狄拉克费米子朗道能级的量子调控。研究发现哈密顿量中的粒子空穴对称破缺项是决定朗道能级随磁场强度和无序强度及浓度的演化规律的关键因素。保持粒子空穴对称性时,第零朗道能级被锁定在电荷中性点并且不依赖于磁场和弱无序,近邻的朗道能级则呈现反悬浮(antilevitation )行为。然而,粒子空穴对称性破缺后,第零朗道能级则根据粒子空穴项的符号来呈现上升或下降行为,近邻朗道能级的演化规律则取决于粒子空穴破缺项的强度。

相关成果发表在Physical Review B 110, 094202 (2024)。该工作受到泰山学者工程(ts20190939)、国家自然科学基金(12104183、52173283 )、山东省自然科学基金(ZR2021MA040)和江苏省自然科学基金(BK20230066)的资助。
供稿:曹强 编辑:弋媛 审核:王晓